Exercise 5: Introduction to BUGS & JAGS
The BUGS project (Bayesian inference Using Gibbs Sampling) was initiated in 1989 by the MRC (Medical Research Council) Biostatistical Unit at the University of Cambridge (United-Kingdom) to develop a flexible and user-friendly software for Bayesian analysis of complex models through MCMC algorithms. Its most famous and original implementation is WinBUGS, a clicking software available under Windows. OpenBUGS is an alternative implementation of WinBUGS running on either Windows, Mac OS ou Linux. JAGS (Just another Gibbs Sampler) is a different and newer implementation that also relies on the BUGS language. Finally, the STAN software must also be mentionned, recently developed et the Columbia Univeristy, ressemble BUGS through its interface, but relies on innovative MCMC approaches, such as Hamiltonian Monte Carlo, or variational Bayes approaches. A very useful resource is the JAGS user manual.
To familiarise yourself with JAGS (and its R interface through the package rjags), we will look here at the posterior estimation of the mean and variance of observed data that we will model with a Gaussian distribution.
Start by loading the
Rpackagerjags.library(rjags)
A BUGS model has 3 components:
- the model: specified in an external text file (
.txt) according to a specificBUGSsyntax - the data: a list containing each observation under a name matching the one used in the model specification
- the initial values: (optional) a list containing the initial values for the various parameters to be estimated
Sample \(N=50\) observations from a Gaussian distribution with mean \(m = 2\) and standard deviation \(s = 3\) using the
Rfunctionrnormand store it into an object calledobs.N <- 50 # the number of observations obs <- rnorm(n = N, mean = 2, sd = 3) # the (fake) observed dataRead the help of the
rjagspackage, then save a text file (.txt) the following code defining theBUGSmodel:# Model model{ # Likelihood for (i in 1:N){ obs[i]~dnorm(mu,tau) } # Prior mu~dnorm(0,0.0001) # proper but very flat (so weakly informative) tau~dgamma(0.0001,0.0001) # proper, and weakly informative (conjugate for Gaussian) # Variables of interest sigma <- pow(tau, -0.5) }
Each model specification file must start with the instruction model{ indicating JAGS is about to receive a model specification. Then the model must be set up, usually by cycling along the data with a for loop. Here, we want to declare N observations, and each of them obs[i] follows a Gaussian distribution (characterized with the command dnorm) of mean mu and precision tau.
⚠️ In BUGS, the Gaussian distribution is parameterized by its precision, which is simply the inverse of the variance (\(\tau = 1/\sigma^2\)). Then, one needs to define the prior distribution for each parameter -– here both mu and tau. For mu, we use a Gaussian prior with mean \(0\) and precision \(10^{-4}\) (thus variance \(10,000\): this corresponds to a weakly informative prior quite spread out given the scale of our data. For tau we use the conjugate prior for precision in a Gaussian model, namely the Gamma distribution (with very small parameters, here again to remain the least informative possible). Finally, we give a deterministic definition of the additional parameters of interest, here the standard deviation sigma.
NB: ~ indicates probabilistic distribution definition of a random variable, while <- indicates a deterministic calculus definition.
With the
Rfunctionjags.model(), create ajagsobjectR.myfirstjags <- jags.model("normalBUGSmodel.txt", data = list(obs = obs, N = length(obs)))## Compiling model graph ## Resolving undeclared variables ## Allocating nodes ## Graph information: ## Observed stochastic nodes: 50 ## Unobserved stochastic nodes: 2 ## Total graph size: 58 ## ## Initializing modelWith the
Rfunctioncoda.samples(), generate a sample of size \(2,000\) from the posterior distributions for the mean and standard deviation parameters.res <- coda.samples(model = myfirstjags, variable.names = c("mu", "sigma"), n.iter = 2000)Study the output of the
coda.samples()Rfunction, and compute both the posterior mean and median estimates formuandsigma. Give a credibility interval at 95% for both.plot(res)
res_sum <- summary(res) res_sum## ## Iterations = 1:2000 ## Thinning interval = 1 ## Number of chains = 1 ## Sample size per chain = 2000 ## ## 1. Empirical mean and standard deviation for each variable, ## plus standard error of the mean: ## ## Mean SD Naive SE Time-series SE ## mu 2.228 0.3542 0.007921 0.007921 ## sigma 2.512 0.2669 0.005968 0.006224 ## ## 2. Quantiles for each variable: ## ## 2.5% 25% 50% 75% 97.5% ## mu 1.536 1.987 2.232 2.460 2.913 ## sigma 2.069 2.324 2.484 2.672 3.108res_sum$statistics["mu", "Mean"]## [1] 2.228383res_sum$statistics["sigma", "Mean"]## [1] 2.511918res_sum$quantiles["mu", "50%"]## [1] 2.231571res_sum$quantiles["sigma", "50%"]## [1] 2.484006res_sum$quantiles["mu", c(1, 5)]## 2.5% 97.5% ## 1.535557 2.913115res_sum$quantiles["sigma", c(1, 5)]## 2.5% 97.5% ## 2.068717 3.107573Load the
codaRpackage. This package functions for convergence diagnostic and analysis of MCMC algorithm outputs.library(coda)To diagnose the convergence of an MCMC algorithm, it is necessary to generate different Markov chains, with different initial values. Recreate a new
jagsobject inRand specify the use of 3 Markov chains with the argumentn.chains, and initializemuat \(0, -10, 100\) andtauat \(1, 0.01, 0.1\) respectively with the argumentinits(ProTip: use alistoflist, one for each chain).myjags2 <- jags.model("normalBUGSmodel.txt", data = list(obs = obs, N = N), n.chains = 3, inits = list(list(mu = 0, tau = 1), list(mu = -10, tau = 1/100), list(mu = 100, tau = 1/10)))## Compiling model graph ## Resolving undeclared variables ## Allocating nodes ## Graph information: ## Observed stochastic nodes: 50 ## Unobserved stochastic nodes: 2 ## Total graph size: 58 ## ## Initializing modelres2 <- coda.samples(model = myjags2, variable.names = c("mu", "sigma"), n.iter = 1000) plot(res2)
With the
Rfunctiongelman.plot(), plot the Gelman-Rubin statistic.gelman.plot(res2)
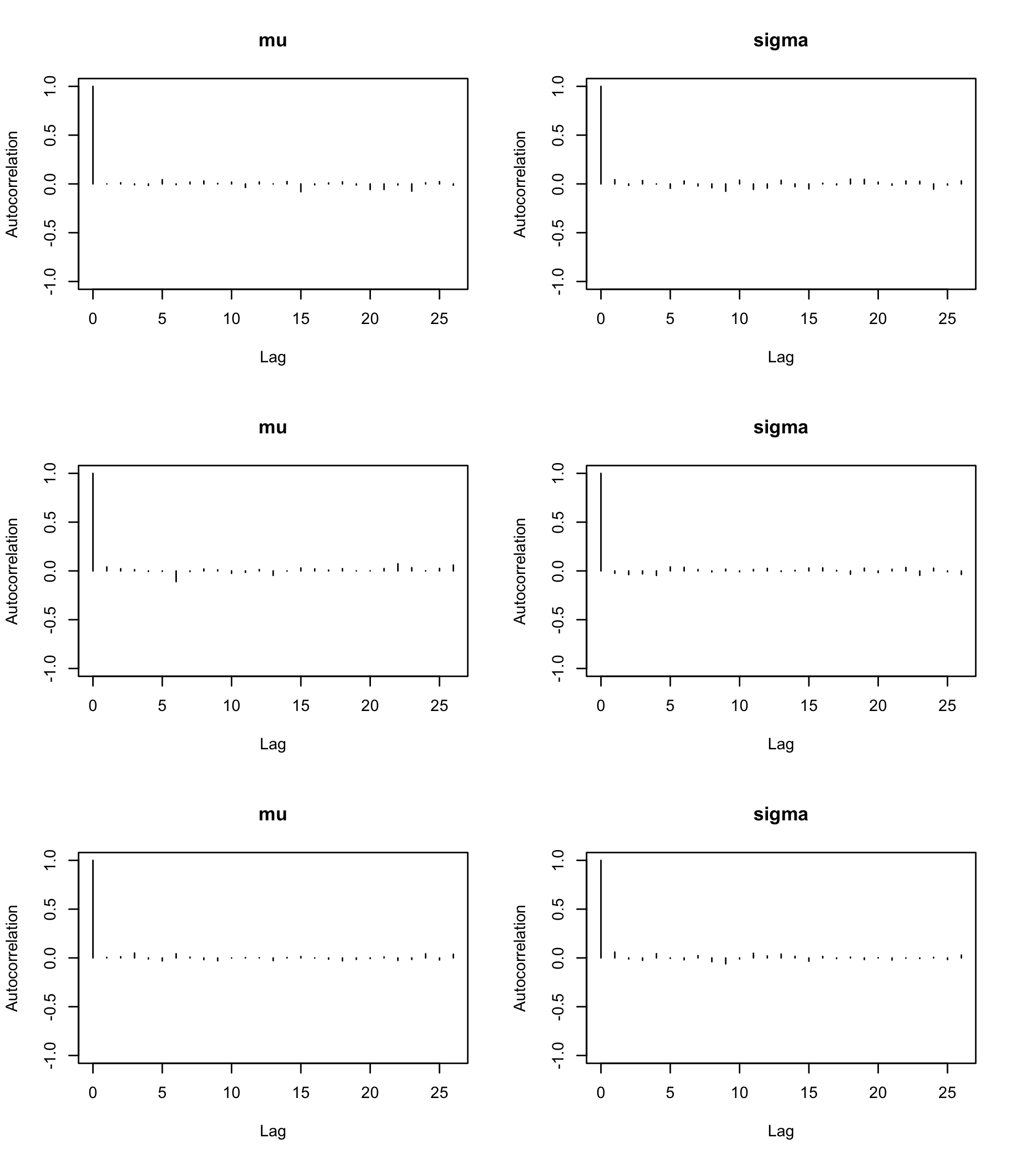
With the
Rfunctionsautocorr.plot()andacfplot()evaluate the autocorrelation of the studied parameters.acfplot(res2)
par(mfrow = c(3, 2)) autocorr.plot(res2, ask = FALSE, auto.layout = FALSE)
With the
Rfunctioncumuplot()evaluate the running quantiles of the studied parameters. How can you interpret them ?par(mfrow = c(3, 2)) cumuplot(res2, ask = FALSE, auto.layout = FALSE)
Each row of the above graph is a different chain. The cumulative quantiles are indeed stable after the first few iterations in all chains.With the function
hdi()from theRpackageHDInterval, provide highest densitity posterior credibility intervals at 95%, and compare them to those obtained with the \(2.5\)% and \(97.5\)% quantiles.hdCI <- HDInterval::hdi(res2) hdCI## mu sigma ## lower 1.544911 2.015604 ## upper 2.933025 3.018926 ## attr(,"credMass") ## [1] 0.95symCI <- summary(res2)$quantiles[, c(1, 5)] symCI## 2.5% 97.5% ## mu 1.532256 2.927862 ## sigma 2.064821 3.085987symCI[, 2] - symCI[, 1]## mu sigma ## 1.395606 1.021166hdCI[2, ] - hdCI[1, ]## mu sigma ## 1.388114 1.003322